UA
EN
×
Site search
"Knowledge. Law. Honor."
Kharkiv National University of Internal Affairs
Kremenchuk flight college
Toggle navigation
Kremenchuk flight college
KhNUIA
About college
College Structure
International Relations and Interuniversity Activities Department
Academic and Material Facilities
Quality Management System
Educational and material base
How to find us
Our graduates
Health care
Living conditions
Our city
Home-administration
News
Education
Rating Of Pedagogical Employees
Study Timetable (Remote Learning)
Study Timetable
Regulatory Documents of Kremenchuk Flight College of Kharkiv National University of Internal Affairs
Cadet and Student Self-Government
Educational and Professional Programs
Projects of Educational and Professional Programs for the Purpose of Receipting Proposals and Comments of Stakeholders
Academic Department
Certification of Pedagogical Employees
Success Ratings
Division of Foreign Student Training and Refresher Training of Aviation Specialists
Library
Protocols of the Pedagogical and Methodological Council
Academic Mobility Classes
Science
Conferences on the basis of college
Priority Areas of Scientific Research
Scientific Activities
Scientific Circles of Cadets and Students
Academic Integrity
Scientific Activity and Achievements of Applicants for education
Scientific Activity and Achievements of Pedagogical (Scientific) staff
Protection Documents
Gender Equality
Contacts
Access to public information
Feedback
Home
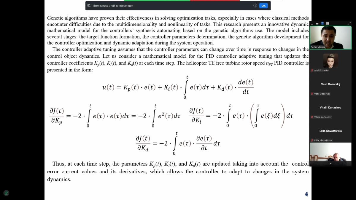
News
03-10-2024